Zur Startseite

Keplersche Gesetze

 

 

Bis Anfang des 16. Jahrhunderts herrschte die Lehrmeinung vor, dass die Erde im Mittelpunkt des Universums stehe und sich alle anderen Himmelskörper auf festen Kreisbahnen um sie drehen. Dieses von Claudius Ptolemaeus aufgestellte Geozentrische Weltbild wies jedoch Schwächen gegenüber der astronomischen Beobachtung zum Beispiel der Planeten auf. Um diese Abweichungen zwischen Theorie und Beobachtungen zu beseitigen, ließ er die Planeten sich auf ihrer jeweiligen Bahn noch auf weiteren Kreisbahnen(Epicyceln) bewegen. Diese auch als Ptolemäisches Weltbild bezeichnete Theorie wurde insbesonders von der Kirche unterstützt und blieb bis zum Anfang des 16. Jahrhunderts die herrschende Lehrmeinung. Durch Studium der Schriften des griechischen Naturforschers Aristarch von Samos angeregt, entwickelte Nikolaus Kopernikus das heliozentrische Weltbild und veröffentlichte es kurz vor seinem Tode im Jahr 1543. Es sagt aus, dass die Sonne im Mittelpunkt des Planetensystems stehe und alle Planeten sich um sie herum bewegen. Außerdem drehe sich die Erde innerhalb von 24 Stunden um ihre eigene Achse und zusammen mit den Planeten in einem Jahr um die Sonne herum. Da er bei seinen Berechnungen von idealen Kreisbahnen ausging, konnte sie nicht durch genaue Beobachtungen gestützt werden. Dies war wohl ein wichtiger Grund, weshalb er der Veröffentlichung seines Werkes "De revolutionibus orbium coelestium" erst spät zustimmte. In den 80-ger und 90-ger Jahren des 16. Jahrhunderts lebte und forschte in Dänemark Tycho Brahe, einer der führenden Astronomen seiner Zeit. In über 20 Jahren sammelte er auf seiner Sternwarte Urania mit Hilfe selbstgebauter Instrumente eine große Menge an Planetenpositionen mit einer Genauigkeit von etwa zwei Bogenminuten, eine bis dahin unerreichte Genauigkeit. In seinen letzten Lebensjahren beschäftigte er einen jungen Mathematiker und Astronomen namens Johannes Kepler. Dieser sollte anhand der von Brahe zur Verfügung gestellten Marspositionen dessen genaue Bahn berechnen, da die Marsbahn nicht mit einer Kreisbahn zu erklären war. Nach langwierigen Berechnungen, innerhalb derer er die ursprünglich angenommene Kreisbahn immer mehr abflachte, kam er zu zu folgenden Erkenntnissen, die als

Erstes Keplersches Gesetz bezeichnet werden:

     

   Die Planeten umkreisen die Sonne auf Ellipsenbahnen, wobei in einem Brennpunkt die Sonne steht

 

 

 

 

 

 

Dabei gilt: Die Entfernung F2 - Planet + die Entfernung Planet - Sonne (F1) ist gleich der Entfernung A - B. In Kurzform: F2 -  P + P - S = A -  B.

 

Würden die Planeten auf Kreisbahnen die Sonne umrunden, wäre der Schluss naheliegend, dass ihre Geschwindigkeit in jedem Bahnpunkt gleich schnell wäre. Da ihre Bahnkurve jedoch eine elliptische ist, kann diese Annahme nicht zutreffen. Eine kurze Überlegung zeigt, dass z.B. der Mars im Perihel, das heißt im sonnennächsten Punkt sich wegen der nun stärkeren Anziehungskraft durch die Sonne schneller  bewegen muss als im sonnenfernsten Punkt, dem Aphel. Dort ist die Gravitationswirkung der Sonne geringer und dementsprechend ist seine Umlaufgeschwindigkeit kleiner.

Um beim Beispiel Mars zu bleiben: Er braucht für die Strecke von A nach B genau so lange wie von C nach D.

 

 

 

 

 

Daraus ergibt sich

 

Das zweite Keplersche Gesetz

 

         Die Verbindungslinie Sonne - Planet überstreicht in gleichen Zeiten gleiche Flächen.

 

Zur Herleitung des 3. Keplerschen Gesetzes müssen wir ein wenig ausholen. Wir haben uns bis jetzt noch keine Gedanken darüber gemacht, weshalb die Planeten, Kometen und andere Körper in unserem Sonnensystem sich um die Sonne herum bewegen. Auch Kepler wusste dies nicht, erst Isaac Newton fand die Ursache und formulierte diese Erkenntnisse im sogenannten Gravitationsgesetz. Es beschreibt die Anziehungskräfte zwischen zwei Körpern in einem bestimmten Abstand voneinander. Die mathematische Formulierung lautet:

 

 

              Gleichung 1

 

 

Darin ist γ = eine Konstante, m1 und m2 die Massen der beiden betrachteten Körper und r ihr gegenseitiger mittlerer Abstand voneinander. Nun wenden wir diese Gleichung übungshalber für das System Sonne - Erde an:

 

 

 Nach Multiplikation und Umformung der Einheiten ergibt sich folgendes Ergebnis:

 

 

 

Die Sonne zieht also mit einer Kraft von rund 5 mal 1030 KN(Kilonewton) die Erde an. Diese Kraft wird als Radial - oder auch als Zentripetalkraft bezeichnet. Da die Erde im Verhältnis zur Sonne eine verschwindend geringe Masse hat, liegt der gemeinsame Schwerpunkt noch im Innern der Sonne. Weil sich die Erde seit Jahrmilliarden in einer stabilen Umlaufbahn befindet, muss eine der Anziehungskraft gleich starke Kraft entgegen wirken. Es ist die Fliehkraft, die auch  Zentrifugalkraft genannt wird, deren Ursache die Trägheit des Körpers ist. Eine kleine Skizze soll das Zusammenwirken beider Kräfte veranschaulichen, wobei zur Vereinfachung von einer Kreisbahn ausgegangen wird.

 

 

 

 

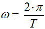
Da sich der Planet, z.B. die Erde bei unserem Beispiel mit einer gleichmäßigen Geschwindigkeit  auf ihrer Bahn bewegt, ist ihre Winkelgeschwindigkeit ω konstant d.h. sie legt in gleich langen Zeitabschnitten gleich lange Bahnabschnitte (Bogenstücke) zurück. Der  Umfang eines Kreises ist gleich 2π,  die Dauer eines Umlaufs bezeichnen wir mit T und somit können wir ω folgendermaßen definieren:   

                 

                                   Gleichung 2   

                                    

 

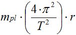
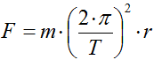
 Wie schon erwähnt, bewegt sich der Planet seit langer Zeit auf einer stabilen Umlaufbahn, deshalb  müssen die Zentripetalkraft F und die Zentrifugalkraft Fz gleich groß, aber in ihrer Richtung entgegengesetzt sein, also F = Fz. Die Zentripetalkraft können wir annähernd gleich der Gravitationskraft G setzen.  Ohne weitere Ableitung entnehme ich einer Formelsammlung die Gleichung für Fz. Sie lautet:   

 

                                                                                         Gleichung 3

 

 

 Gleichung 2 setze ich nun Gleichung 3 ein und erhalte damit:

 

 

                      Gleichung 4

 

Weil  Ggrav =  Fz, folgt daraus:

 

 

                                                                 = Gleichung 5

 

 

Nach Kürzen und Umstellen der Gleichung erhalte ich:

 

                 

                                                                                                      Gleichung 6

 

 

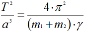
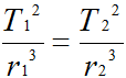
Bewegen sich nun beispielsweise zwei Körper auf einer Umlaufbahn, so erhält man folgende Gleichung:

 

 

                                                                                                         

 

 

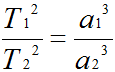
Ersetzen wir nun den Radius r der Kreisbahn durch die große Halbachse a einer Ellipse, so kommen wir schließlich zum

 

Dritten Keplerschen Gesetz

 

                                                                                         Gleichung 7

 

 

Die Quadrate der Umlaufzeiten zweier Körper verhalten sich wie die dritten Potenzen ihrer großen Halbachsen ihrer Bahnellipsen.   

 

 

Zur Veranschaulichung bringe ich nun eine Aufgabe: Zu berechnen ist die mittlere Entfernung des Planeten  Venus im Vergleich zur Erde. Venus braucht für einen Umlauf um die Sonne 224,7 Tage.

 

 

 

 

 

 

 

 

Dies entspricht rund 108,14 Millionen Kilometern.

 

 

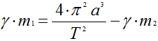
Wie ich weiter oben bereits erwähnt habe, sind die Planetenmassen im Vergleich zur Sonnenmasse verschwindend gering und damit bei der Betrachtung des gemeinsamen Schwerpunktes zwischen der Sonne und einem Planeten bedeutungslos. Anders liegen die Verhältnisse, wenn sich zwei Körper mit vergleichbaren Massen auf elliptischen Bahnen um einen gemeinsamen Schwerpunkt herumbewegen, denn dieser liegt hier zwischen ihnen und nicht wie beim Beispiel Sonne - Planet im Zentrum der Sonne. Die Gleichung 6 muss dann in folgender Weise erweitert werden:

 

 

                          Gleichung 8

 

 

r3 aus Gleichung 6 wird durch die große Halbachse der elliptischen Bahn ersetzt, anstelle der Sonnenmasse msonne werden die Massen m1 und m der beiden sich umeinander bewegenden Körper eingesetzt. Man erkennt, dass das in Gleichung 7 angegebene Gesetz nur ein Spezialfall der allgemeinen Formulierung nach Gleichung 8 darstellt.

 

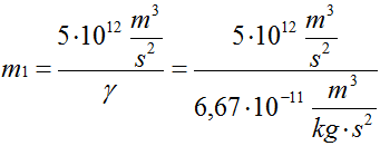
Auch hierzu möchte ich ein Beispiel anführen: Zu berechnen ist die Masse des Erdmondes! Seine siderische Umlaufzeit beträgt rund 27 Tage, 7 Stunden und 43 Minuten. Die Erdmasse m2 beträgt etwa 5,9 mal 1024 kg und die mittlere Entfernung 384400 km.

 

 

 

 

Die Gleichung wird nun nach m1 aufgelöst

 

 

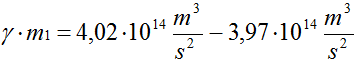
nun werden die Werte eingesetzt

 

 

 

 

Nach Ausmultiplizieren und Kürzen der Einheiten ergibt sich folgendes vorläufiges Ergebnis:

 

 

 

 

 

Durch Kürzen gleichnamiger Einheiten und Division des Zählers durch den Nenner ergibt sich das Endergebnis:

 

 

 

 

Das Ergebnis weicht wegen Rundungsungenauigkeiten vom tatsächlichen Ergebnis (7,35 mal 1022 kg) geringfügig ab.                                                                                                                                                 

                                                                                                                                                                          

                                                                                                                                                                         

                                                                                                     Zur Startseite